Primera muestra para la columna C3 (Obs 01):
La variable está en la columna C2 ó X. La almacenaremos en C3 ú Obs 01.
<Calc> - <Random data> - <Sample from columns> - <Sample 36 rows>
Las otras muestras
Hemos repetido para las otras columnas, de la misma forma (parte de lo cual se muestra en la figura anterior).
Paso 5: Calcularemos le media de cada una de estas muestras:
Las medias por fila, la que se dispone en la columna C8
Las medias por columna (que no se ve) son: 11.0278, 12.5278, 12.2222, 11.2222 y 10.8333, para las 5 muestras.
Paso 6: Calcularemos el promedio de las medias de las muestras, que la llamaremos la media muestral de medias muestrales.
Este valor es 11.5667, como se puede apreciar en la celda C10(3) y en las líneas por encima de la hoja de trabajo y que están encerradas en una elipse.
Si tomamos 5 muestras aleatoria de tamaño n = 36, la media o promedio de las medias muestrales es 11.5667 y está muy cerca de la media poblacional, 11.9200. Del mismo modo, si tomamos 4 muestras de tamaño n = 36, encontramos que su media 11.5667 es la misma que la media de las medias muestrales de tamaño 36 y muy cerca de la media poblacional.
Esto nos dice que la media de medias muestrales podría ser tomado como un buen estadístico capaz de ser tomado como valor de la media poblacional. Como un dato adicional, la desviación poblacional dividida entre la raíz cuadrada del tamaño de la muestra, n = 5, que es igual a 1.74042, nos da un valor muy cercano a la desviación estándar de la media de las medias muestrales.
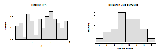
Finalmente, la siguiente figura contiene la gráfica de histogramas de los datos poblacionales y la gráfica de las medias muestrales.
Observe que, para un tamaño de muestra, n =
36, la gráfica (de la derecha) nos da la forma de la campana de Gauss
indicándonos que LA DISTRIBUCIÓN MUESTRAL (eso es lo que representa la columna
C8) de las medias muestrales tiene una distribución
aproximadamente normal, con parámetros
y
![]()

Nota:
Como el valor de la media de cada muestra puede ser considerada como un valor de la media de las medias muestrales, podemos considerar a la media de las medias muestrales como una variable aleatoria, de allí su nombre: Variable aleatoria definida como la Media muestral de medias muestrales.
La siguiente gráfica prueba nuestra afirmación.

Que cuando n ŕ µ
; es decir cuando el tamaño de la muestra se hace bastante grande, la media
muestral de medias muestrales se aproxima a la media poblacional. Y la
distribución de las medias muestrales tiene un comportamiento normal.
El siguiente trabajo de simulación consiste de una población de 100 alumnos cuyas notas se muestran en la columna C2. Su media (poblacional) y su desviación estándar (poblacional) se muestran a continuación, así como un histograma de frecuencias en modo texto.
Variable N Mean Median TrMean StDev SE Mean
X 100 11.880 12.000 11.867 4.430 0.443
Variable Minimum Maximum Q1 Q3
X 5.000 19.000 8.000 16.000
Síguenos en: Facebook Sobre aulaClic Política de Cookies