Desde hace muchos años, con Word podemos escribir ecuaciones matemáticas, lo que implica la posibilidad de añadir símbolos, índices, subíndices, fracciones, etcétera. Sin embargo, uno de los problemas asociados a la escritura de ecuaciones como si estuviéramos escribiendo un párrafo, es la posibilidad de equivocarnos en la posición de algún elemento o que éste se ajuste de manera errónea.
La característica novedosa añadida recientemente a la versión 2016 es la posibilidad de hacerlo en formato LaTeX. Definamos primero qué es este formato.
LaTeX es un programa que permite elaborar documentos poniendo énfasis en la calidad tipográfica. Es muy utilizado en la elaboración de documentos científicos que incluyen un gran número de expresiones matemáticas. Para crearlas, el programa se vale de un conjunto de comandos que podemos escribir como una línea de texto y luego el programa lo interpreta para crear la ecuación correspondiente. Por ello decimos que la codificación LaTeX es un modo de escribir ecuaciones en formato lineal. Por ejemplo, podemos escribir:
\left(a+\frac{a}{c}\right)
Y el programa lo presentará del siguiente modo:

Esto implica que hay una serie de comandos y convenciones que nos permiten escribir, sin ninguna duda de posición o símbolos, cualquier ecuación, fórmula o expresión matemática.
De hecho, no es el único formato lineal para la escritura de ecuaciones que existe. También tenemos el formato UnicodeMath que también es soportado por Word.
Veamos.
En la ficha Insertar en Símbolos, encontramos el comando Ecuación y en su menú, la opción Insertar nueva ecuación.

Esto abre una nueva ficha contextual, llamada Ecuación, con la cual podemos escribir la ecuación.

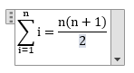
Podríamos comenzar utilizando alguna de las estructuras ya definidas de la sección llamada, precisamente, Estructuras. Por ejemplo, para calcular la sumatoria de los primeros n números, utilizaríamos el signo sigma.

Esto insertaría el símbolo correspondiente en el espacio reservado de Word para escribir la ecuación:

Después insertaríamos las variables, lo que incluye añadir otra estructura, la de la fracción, desde la misma sección. De modo que la ecuación quedaría de este modo.

Sin embargo, alternativamente, podríamos usar el código LaTeX. Para ello, en la sección Conversiones de la misma ficha Diseño seleccionamos el formato lineal deseado.

Y escribir en la caja de la ecuación el siguiente texto lineal:
\sum_{i=1}^{n}{i=\frac{n(n+1)}{2}}
Y pulsar Enter, o bien utilizar el botón Convertir, que desplegará el siguiente menú

Lo cual convierte el texto lineal a la ecuación correspondiente:

Para editar la ecuación en formato lineal simplemente debemos usar la opción Lineal (actual) del botón Convertir, lo que convierte a la ecuación en el texto de una línea original.
Por tanto, los usuarios familiarizados con la codificación LaTeX para expresiones matemáticas pueden ahora utilizar Word para escribir sus documentos. Sin embargo, deben tener presente algunas excepciones que pueden consultarse en el sistema de ayuda. En tanto, aquí hay más expresiones matemáticas en formato lineal para que puedas experimentar:

Síguenos en: Facebook Sobre aulaClic Política de Cookies
© aulaClic. Todos los derechos reservados. Prohibida la reproducción por cualquier medio.