Word dispone de un editor de ecuaciones que nos ayuda a introducir ecuaciones y fórmulas matemáticas.
Para utilizar el editor de ecuaciones debemos acceder a la pestaña Insertar > grupo Símbolos > opción Ecuación. ![]()
Al hacer clic en el botón Ecuación, se muestra una pestaña nueva: Ecuación. Ésta pestaña contiene una serie de herramientas útiles que se organizan en los grupos Herramientas, Conversiones, Símbolos y Estructuras.

También se observa en la hoja un lugar específico donde podemos insertar la ecuación/formula que deseemos.

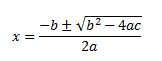
Este es el aspecto de la ecuación en edición:

Pero el aspecto final lo apreciarás si haces clic en cualquier zona del documento que no sea la ecuación:

Si en un momento dado necesitas cambiarla, simplemente haz clic sobre ella y aparecerá de nuevo el cuadro de edición y la ficha Ecuación.
Síguenos en: Facebook Sobre aulaClic Política de Cookies
© aulaClic. Todos los derechos reservados. Prohibida la reproducción por cualquier medio.