Ejemplo 173
Si la distribución de probabilidad conjunta de (X, Y) viene dada por la siguiente tabla:

Solución
En la tabla conjunta ya hemos calculado las distribuciones marginales de X e Y.
E[X] = 0(.175)+1(.282)+2(.337)+3(.206) = 1.574
E[Y] = 0(.185)+1(.407)+2(.408) = 1.223
Sea Z = 3X + 4Y. Si X , Y = 0, 1, 2, 3, 4 entonces Z = 0, 3, 4, 6, 7, 8, 9, 10, 13, 14; con lo cual su distribución será

Luego E[Z] = 0(.02) + 3(.05) + 4(.015) + ... + 4(.121) + 17(.021) = 9.614
E[Y²] = 0²(.185) + 1²(.407) + 2²(.408) = 2.039
V[Y] = E[Y²] – (E[Y])² = 2.039 – 1.223² = 0.543271
Antes de evaluar E[XY], encontremos la distribución de XY. Para ello, sea Z = XY. Los valores que toma Z son:
0 = {(0,0), (1, 0), (2, 0), (3, 0), (0, 1), (0, 2)},
1 = {(1, 1) } 2 = {(1, 2), (2, 1) } 3 = {(3, 1)},
4 = {(2, 2) } 6 = {(3, 2) }
Luego su distribución es
| 0 | 1 | 2 | 3 | 4 | 6 |
| 0.340 | 0.106 | 0.272 | 0.140 | .121 | 0.021 |
De acuerdo a esto, E[XY] = E[Z] = 1.680

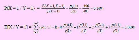
E[2X + 1 / Y = 1 ]
Aplicando propiedades, E[2X + 1/Y= 1]= 2 E[X / Y = 1] + 1 = 2(2.0098) + 1= 5.0196
E[2X + Y / Y = 1]. Como ya ha ocurrido el evento { Y = 1 } entonces ya se conoce el valor de Y, por ello E[2X + Y / Y = 1] = E[2X + 1 / Y = 1] = 5.0196
Igualmente, E[XY / Y = 1 ] = E[X(1) / Y = 1] = E[X / Y = 1 ] = 2.0098
Síguenos en: Facebook Sobre aulaClic Política de Cookies