Ejemplo 12
Sea X1, X2, X3 una muestra aleatoria de cualquier población con μ y σ2 = 1. De los siguientes estimadores de μ:

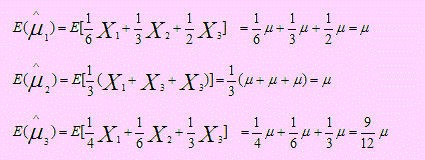
¿Cuáles son estimadores insesgados de μ?
¿Cuál es el estimador de varianza mínima?
Veamos si son insesgados:

Los dos primeros son insesgados; por tanto calcularemos la varianza sólo de los que son insesgados:

p4. Debe ser un estimador estadistico suficiente
Sea X1, X2, … , Xn una muestra aleatoria extraída de una población cuya función de densidad es f(X; θ) y sea t una estadística muestral tal que T = t(X1, X2, …, X2 ).
Recordemos que T = t(X1, X2, …, Xn ) es una estadística obtenida en la muestra y como tal, define el comportamiento de la muestra y un estimador obtenido a partir de esta estadística permite estimar el parámetro determinando por tanto, el comportamiento poblacional.

Naturalmente alguna de ellas será considerada un estimador de algún parámetro poblacional. Por tanto, si dicho estadístico contiene suficiente información acerca del parámetro poblacional a quién pretende estimarlo, diremos que es un estadístico suficiente.
Definición de Estadística suficiente.
Sea X1, X2, …, Xn una muestra aleatoria extraída de una población cuya función de densidad es f(X; θ) y sea t una estadística muestral tal que T = t(X1, X2, …, Xn ).
Diremos que T es un estadístico suficiente para θ sí y sólo sí, la distribución condicional de X, f(X1, X2, …, Xn ) dado T = t(X1, X2, …, Xn ) es independiente del parámetro θ; es decir, P(X = x / T = t ) = r(X1, X2, …, Xn ) que no depende de θ como sí ocurre con f(X; θ).
Teorema: Criterio de la factorización
Sea X1, X1, …, X1 una muestra aleatoria extraída de una población cuya función de densidad es f(X; θ). Una estadística T = t(X1, X2, …, Xn ) es suficiente para θ sí y sólo sí la función de densidad conjunta f(X1, X2, …, Xn; θ) puede ser factorizado como sigue: f(X1, X2, …, Xn; θ) = g(t(X1, X2, …, Xn )) h(X1, X2, …, Xn ) donde g depende de X1, X2, …, Xn y h es independiente de θ.
Síguenos en: Facebook Sobre aulaClic Política de Cookies